50カ国12,000銘柄

世界への分散投資を
全自動で。

50カ国12,000銘柄

世界への分散投資を
全自動で。

ロボアドバイザー預かり資産・運用者数No.1

※1 一般社団法人日本投資顧問業協会「契約資産状況(最新版)(2025年3月末現在)『ラップ業務』『投資一任業』」を基にネット専業業者を比較 ウエルスアドバイザー社調べ(2025年6月時点)

タイアッププログラム

※1 一般社団法人日本投資顧問業協会「契約資産状況(最新版)(2025年3月末現在)『ラップ業務』『投資一任業』」を基にネット専業業者を比較 ウエルスアドバイザー社調べ(2025年6月時点)

タイアッププログラム タイアッププログラム

本ページから口座開設することでタイアップ特典として1,000円をプレゼントします。

※当プログラムの対象は「WealthNavi」のお客様です。提携サービス(WealthNavi for 〇〇)のお客様は対象外です。
詳細なプログラム条件はこちらをご覧ください。

特典を受けるためには?

※詳細なプログラム条件はこちらをご覧ください。

以下の場合、当プログラムの対象外となりますのでご注意ください

  • タイアップ先サイトのタイアッププログラムページを経由しないで(本ページに直接アクセスして)申し込みを行った場合
  • ブラウザのクッキー設定が有効でない場合、または申し込みの手続きの途中でクッキーを削除された場合(申込記録が残らないため、当プログラムの対象外となります。通常、クッキーは有効に設定されています)
  • タイアップ先サイトを経由後、口座開設をアプリから行った場合(クッキー情報を記録できないため対象外となります)

運用開始から特典付与までのスケジュール例

※こちらはあくまで一例です。実際は口座開設や、資産運用を開始したタイミングにより特典付与までのスケジュールは異なります。

WealthNaviとは

ロボアドバイザー「WealthNavi(ウェルスナビ)」はテクノロジーの力で、
誰もが世界水準の資産運用をできるようにしました。

資産運用の手間を「ゼロ」に
WealthNaviは、発注から積立、リバランス(資産のバランス調整)、「税金」の最適化まですべて自動で行います。忙しく働く世代も手間なく資産運用をはじめられます。
従来の資産運用 すべて自動化WealthNavi 従来の資産運用 すべて自動化WealthNavi
6つの質問で、最適な
運用プランをご提案
専門知識がなくても6つの質問に答えるだけで、あなたに合った運用プランをご提案、最適なポートフォリオを自動で構築します。
6つの質問 6つの質問
ノーベル賞受賞者
理論を
ベースにした
資産運用
WealthNaviは、ノーベル賞受賞者が提唱する理論に基づいた金融アルゴリズムを採用しています。世界の富裕層なども行う資産運用を誰もが行えるようにしました。
効率的フロンティア 効率的フロンティア ノーベル賞受賞者 ノーベル賞受賞者

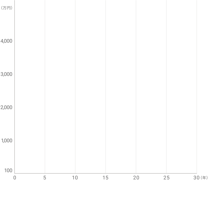
資産運用のシミュレーション

初期投資額100万円、毎月3万円を積み立てると、
30年後に元本1,180万円が50%の確率で2,634万円以上になります。

30年間運用 30年間運用

多くの方に選ばれています

ロボアドバイザー預かり資産・運用者数No.1 ロボアドバイザー預かり資産・運用者数No.1
  • 預かり資産
    1.6兆円突破!!※2
  • 運用者数
    45万人ご利用中!!※3

※1 一般社団法人日本投資顧問業協会「契約資産状況(最新版)(2025年3月末現在)『ラップ業務』『投資一任業』」を基にネット専業業者を比較 ウエルスアドバイザー社調べ(2025年6月時点)
※2 2025年9月26日時点 ※3 2025年6月30日時点の運用者数

タイアッププログラム 詳細

対象となるお客様 当プログラムの対象は「WealthNavi」のお客様です。
  • 提携サービス(WealthNavi for 〇〇)のお客様は対象外となります。
プログラム開始日
  • 2020年11月13日(金)
    • 当プログラムは「期間限定のキャンペーン」ではございません。
特典 1,000円をプレゼント
適用条件

下記(1)〜(5)の条件をすべて満たす必要があります。尚、当プログラムのプレゼントの対象となるのはお一人様1回限りとなります。

  • タイアップ先サイトのタイアッププログラムページを経由し、本ページよりWealthNaviの口座開設を申し込む
  • 2020年11月13日(金)以降に新規で資産運用を開始する(※1)
  • 口座開設日(※2)の翌々月末までに新規で資産運用を開始する
  • 口座開設日の翌々月末時点で10万円以上の残高(※3)がある
  • 資産運用を開始した日から、その翌々月末までに1度も出金依頼をしていない。(※4)
  • WealthNaviの通常の口座開設後に、リスク許容度の設定と最低投資額以上の入金を行う必要があります。ログイン後の取引履歴に「購入」の履歴がある場合に、資産運用が開始していることとなります。
  • 口座開設日はお客様情報ページ内の「投資一任契約の契約締結時交付書面」に記載されている「契約成立年月日」で確認できます。
  • 残高とは、取引履歴画面に表示される「入金」「クイック入金」「積立」「マメタス」の金額の総和から、出金日が口座開設完了日の翌々月末までの「出金」の金額の総和を差し引いた金額を指します。
  • 資産運用開始日から、その翌々月末までにお客様による出金依頼が1度でも確定すると、「出金なし」の条件を満たさないことになります。出金依頼は、原則として平日の20時頃に確定します。
プレゼント方法
  • 資産運用を開始した日が属する月を1カ月目として、4カ月目の中旬~下旬にWealthNaviの口座へ入金します。
  • 手続きの都合により前後する場合があります。

注意事項

当プログラムについて

WealthNaviについて

[金融商品等の取引に関するリスクと費用]

当社が提供する金融商品の取引は、金利、通貨の価格、金融商品市場における相場、その他の指標の変動等により損失が生じ、また投資元本が割り込むおそれがあります。
ご利用の際は、事前に契約締結前交付書面等を十分にお読みください。

金融商品等の取引に関するリスクと費用